Rydberg atoms are becoming promising platform for electric field measurements. They are special because their valence electron is in a highly excited energy state and thus has the orbit with large radius and therfore have a large polarizability. This makes such electrons very sensitive to electric fields that changes their energy. Since such energy changes can be detected in real time using laser excitation, one can determine the value of the electric field by monitoring the optical field transmission. Given that atoms are the same everywhere, measurements based on Rydberg atoms are absolute and there is no worry that an atom based standard for measurement will change like an classical standard will over time. That makes Rydberg atoms promising tools for accurate measurements.

Electromagnetically induced transparency (EIT) is a well studied and known phenonena. In Rydberg atoms two lasers in a ladder configurations are needed to connect a ground state |g ⟩ and a highly excited Rydberg state |r ⟩ through an intermediate excited state |e ⟩. The ground and excited state are linked by a 780 nm red laser, and the excited and Rydberg states are linked by a 480 nm blue laser. When the laser frequency is on resonence with both transitions, the atoms are in a superpositon of the ground and Rydberg states known as a dark state. In this case the optical absorption is reduced. If the frequency of one of the lasers is swept, a relatively narrow EIT resonance is observed. The position of this resonance depends on exact Rydberg level energy, and sensitive to the electric field.

Rydberg Raman-Ramsey (R3) EIT

The goal of this collaborative project between our group and Draper Labs was to enhance the sensitivity of Rydberg atom measurements. In room temperature atomic experiments, the motion of the atoms causes a broadening of the transmission peak. The sensitivity of the detector is ultimately limited to how narrow the transmission peak is to take measurements. Our approach employs a Ramsey interrogation of the atoms. The Ramsey interrogation consists of a light pulse that prepares the Rydberg atoms, after which atomic superposition is left to evolve in the dark for potentially long time before it is probed with a second light pulse. In a recent theoretical study we found that such interrogation method can potentially produce much narrower resonances and significantly improve the electric field sensitivity. Our preliminary experimental studies have found clear indication of Rydberg state population transfer, but so far we were notable to observe coherent Raman-Ramsey effect with eather a time pulsed light, and a spatially separated beams. This work has since concluded, and has been published here.

The figure illustrate the potential advantage of the R3 resonances for precision metrology by showing the variation if the probe laser transmission when the blue laser frequency is scanned across the EIT resonance. The large envelope is the standard EIT transmission that is several MHz wide. The small narrow feature on top of it is due to Raman-Ramsey interaction. If we zoom in on it (the inset), one can see that its width can be reduce down to tens of kHz, limited by the laser frequency and phase stability. If this narrow feature is used as a frequency marker for any electric-field induced shifts, it provides superior sensitivity. Experimentally, we have been trying to resolve this feature in the lab, but it is small and there are technical limitations that have prevented us from seeing this feature.

<

Rydberg Atomic Vector Electrometry (RAVE)

Rydberg atoms have been used for direct measurements of the strenght of rf and dc-electric fields. There have been some studies into how polarizations of rf-fields change the Rydberg EIT response, but we are working on extending these studies to dc electric fields. By changing the polarization of the light fields used to probe the atomic response, different sublevels of the Rydberg state will change in population based on their relative orientation to an applied external electric field. We have preliminary demonstrations of how the polarization changes the populations of the different sublevels and are working on extending this to fluorescence images to spatially resolve varying electric fields.

Three-Photon Rydberg EIT

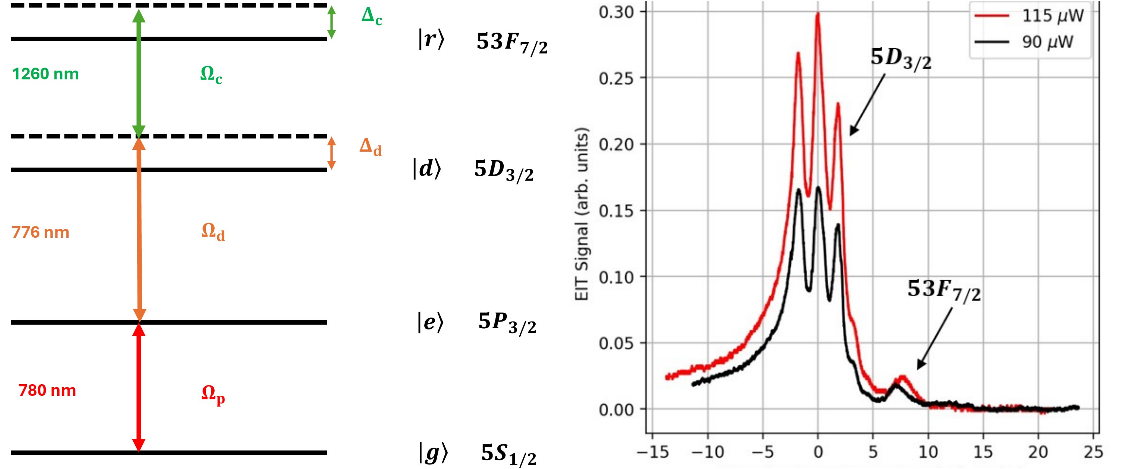
While the two-photon Rydberg EIT is still standard, we are also exploring a three-photon excitation scheme. This scheme uses only IR lasers, and thus eliminates the problem of photoelectron excitations with the blue pump laser, that can create significant electric fields on the cell walls. The three-photon electromagnetically induced transparency (EIT) scheme in rubidium involves a cascade excitation through three energy levels to reach a highly excited Rydberg state 53F7/2​. A probe laser at 780 nm excites atoms from the ground state 5S1/2​​ to the intermediate state 5P3/2​, followed by a dressing laser at 776 nm driving the transition to 5D3/2​, and finally a coupling laser at 1260 nm connecting to the Rydberg state, in our case 53F5/2​.

Shown is the probe transmission spectra as a function of the dressing laser frequency detuning. We can clearly see three taller peaks, corresponding to the two-photon resonance,​ and a weak three-photon corresponding to the Rydberg state excitation​. We were able to enhance the three-photon signal by modulating 1260 nm laser that filtered out the background and two-photon EIT signal.

As a next step, we plan to implement the star configuration to achieve Doppler-free three-photon EIT. In this setup, the three laser beams intersect at specific angles such that the overall Doppler shifts cancel out. This will allow us to observe sharper and more stable EIT signals, improving the accuracy of electric field measurements.